Time series study for groundwater level evaluation in monitoring well
DOI:
https://doi.org/10.18406/2316-1817v13n220211597Palavras-chave:
Araripe Sedimentary Basin. Water Resources. Semi-Arid.Resumo
Climate and hydrogeological conditions of the Brazilian semi-arid demand sustainable and efficient water solutions. Groundwater monitoring programs are tools to subsidize the decision-making in this sense. In Ceará state, the monitoring of Araripe sedimentary basin aquifers is important for the development of the region. In this scenario, the present work aimed to study the groundwater level through an exploratory analysis of time series. The study area covered the eastern portion of the Araripe sedimentary basin, in the municipality of Milagres, in Ceará state. As the object of this study, it was obtained the time series of monthly average groundwater levels in a monitoring well of RIMAS/CPRM and installed in the Middle Aquifer System. Graphical and numerical methods were applied for the identification and description of time series main characteristics. Precipitation data in the study area were used to evaluate the system recharge. Results were discussed according to the environmental aspects of the study area. As a result, it was possible the identification and description of time series patterns such as trend and seasonality through the applied methods. It is also highlighted the sharp drawdown of groundwater levels in long term in the time series, reflecting the quantitative state of the aquifer system, as well as the groundwater recharge during the rainy season of the region, evidenced by the study of time series seasonality together with the precipitation data..Referências
CARNIER NETO, D. Análise das séries temporais de monitoramento de nível d'água em poços no aquífero Rio Claro. 2006. vii, 61 f. Dissertação (mestrado) - Universidade Estadual Paulista, Instituto de Geociências e Ciências Exatas, 2006. Disponível em: http://hdl.handle.net/11449/92806. Acesso em: junho/2021.
CAMACHO, C. R. A influência da estruturação geológica sobre o fluxo das águas subterrâneas no Vale do Cariri – Bacia Sedimentar do Araripe - Ceará – Brasil. Fortaleza: Universidade Federal do Ceará (Dissertação de mestrado), 2016, p. 19 – 33.
CHAN, K.; CRYER, J. Time series analysis with applications in r. New York: Springer, 2008.
CLEVELAND, R. B.; CLEVELAND, W. S.; MCRAE, J. E. STL: A seasonal-trend decomposition. Journal of official statistics, v. 6, n. 1, p. 3-73, 1990.
COGERH. Plano de Monitoramento e Gestão dos Aquíferos da Bacia do Araripe: Estado do Ceará. Fortaleza: Companhia de Gestão dos Recursos Hídricos - COGERH, CE, 2009.
COGERH. Comitês de Bacias Hidrográficas. Fortaleza: Companhia de Gestão dos Recursos Hídricos – COGERH, CE, 2019a.
COGERH. Boletim de Monitoramento dos Poços com Datalogger no Cariri - CE (Ano de 2019). Fortaleza: Companhia de Gestão dos Recursos Hídricos – COGERH, CE, 2019b.
CORTES, F.; MARTELLI, C. M. T.; XIMENES, R. A. A.; MONTARROYOS, U. R.; SIQUEIRA JUNIOR, J. B.; CRUZ, O. G.; ALEXANDER, N.; SOUZA, W. V. Time series analysis of dengue surveillance data in two Brazilian cities. Acta tropica, v. 182, p. 190-197, 2018.
CPRM. Hidrogeologia da porção oriental da Bacia Sedimentar do Araripe: Diagnóstico do estado da arte. Brasil: Serviço Geológico do Brasil – CPRM, 2005. Disponível em: http://rigeo.cprm.gov.br/jspui/bitstream/doc/10454/1/META_A.PDF. Acesso em: junho/2021.
CPRM. Implantação de Rede Integrada de Monitoramento das Águas Subterrâneas. Brasil: Serviço Geológico do Brasil – CPRM, 2009. Disponível em: http://rimasweb.cprm.gov.br/layout/pdf/proposta_monitoramento_CPRM_2009.pdf. Acesso em: junho/2021.
CPRM. Mapa geológico e de recursos naturais do estado do Ceará. Brasil: Serviço Geológico do Brasil – CPRM, 2020. Disponível em: http://rigeo.cprm.gov.br/jspui/handle/doc/20418. Acesso em: junho/2021.
CPRM. Rede Integrada De Monitoramento de Águas Subterrâneas - RIMAS. Brasil: Serviço Geológico do Brasil – CPRM, 2021. Disponível em: http://rimasweb.cprm.gov.br/layout. Acesso em: junho/2021.
CROSBIE, R. S.; BINNING, P.; KALMA, J. D. A time series approach to inferring groundwater recharge using the water table fluctuation method. Water Resources Research, v. 41, n. 1, 2005.
FEITOSA, F. A. C. Hidrogeologia: conceitos e aplicações. Rio de Janeiro: CPRM, 2008.
GARJULLI, R. Os recursos hídricos no semi-árido. Ciência e Cultura, v. 55, n. 4, p. 38-39, 2003.
GOMES, M. C. R.; MENDONÇA, L. A. R.; CAVALCANTE, I. N. Mapeamento da Vulnerabilidade e Risco de Poluição das Águas Subterrâneas na Porção Leste da Bacia Sedimentar do Araripe, Ceará, Brasil. Anuário do Instituto de Geociências, v. 41, n. 3, p. 252-259, 2019.
GOUVÊA, T. H. Análise estatística da influência da precipitação e de características do solo na variação do nível d’água em área de recarga do Aquífero Guarani. 2009. Dissertação (Mestrado) - Escola de Engenharia de São Carlos, Universidade de São Paulo, São Carlos.
HYNDMAN, R. J.; ATHANASOPOULOS, G. Forecasting: principles and practice. Melbourne, Australia: OTexts, 2018. Disponível em: https://www.OTexts.com/fpp2. Acesso em: junho/2021.
HU, K. Z.; ZHANG, J. Z.; XING, L. T. Study on dynamic characteristics of groundwater based on the time series analysis method. Water Science Engineering Technology, v. 5, p. 32-34, 2001.
IBGE, Instituto Brasileiro de Geografia e Estatística. Cidades. Instituto Brasileiro de Geografia e Estatística – IBGE: Rio de Janeiro, 2020. Disponível em: https://cidades.ibge.gov.br. Acesso em: junho/2021.
INPE, Instituto Nacional de Pesquisas Espaciais. Divisão de Geração de Imagens (DGI). Ministério da Ciência, Tecnologia, Inovações e Comunicações, 2021. Disponível em: http://www.dgi.inpe.br/catalogo. Acesso em: junho/2021.
IPECE, Instituto de Pesquisa e Estratégica Econômica do Ceará. Perfil Básico Municipal de Milagres. Instituto de Pesquisa e Estratégia Econômica do Ceará – IPECE: Fortaleza, 2017. Disponível em: https://www.ipece.ce.gov.br/perfil-municipal. Acesso em: junho/2021.
KABACOFF, R. R in Action: Data Analysis and Graphics with R. Manning, 2015.
KARAMOUZ, M.; NAZIF, S.; FALAHI, M. Hydrology and hydroclimatology: principles and applications. CRC Press, 2012.
MACHIWAL, D.; NIMAWAT, J. V.; SAMAR, K. K. Evaluation of efficacy of groundwater level monitoring network by graphical and multivariate statistical techniques. Journal of Agricultural Engineering, v. 48, n. 3, p. 36-43, 2011.
MACHIWAL, D.; JHA, M. K. Hydrologic Time Series Analysis: Theory and practice. New Delhi, India: Springer, 2012.
MANZIONE, R. L. Águas subterrâneas: conceitos e aplicações sob uma visão multidisciplinar. Jundiaí, Paco Editorial, 2015.
MORLEY, S.; ADAMS, M. Graphical analysis of single‐case time series data. British Journal of Clinical Psychology, v. 30, n. 2, p. 97-115, 1991.
MOURA-FÉ, M. M.; SILVA, M. J. A.; DIAS, V. P.; MONTEIRO, D. A.; SILVA, J. H. M.; RODRIGUES, R. M. Região Metropolitana do Cariri (RMC), Ceará: meio ambiente e sustentabilidade. Revista da Casa da Geografia de Sobral (RCGS), v. 21, n. 2, p.
-1216, 30 set. 2019.
REBOUÇAS, A. C. Água na região Nordeste: desperdício e escassez. Estudos avançados, v. 11, n. 29, p. 127-154, 1997.
REBOUÇAS, A. C. Águas Subterrâneas. In: GAIMPÁ, C. E. Q.; GONÇALES, V. G. Águas subterrâneas e poços tubulares profundos. São Paulo: Oficina de Textos, 2. Ed. 2013, p. 17 – 56.
SHUMWAY, R. H.; STOFFER, D. S. Time Series Analysis and Its Applications: With R Examples. Springer, 2017.
SOARES, G. C. S. Cadeia causal da degradação de nascentes na bacia hidrográfica do Rio Gramame – Paraíba (Dissertação). João Pessoa: Universidade Federal da Paraíba, 2016.
QGIS DEVELOPMENT TEAM. QGIS Geographic Information System, 2021.
R CORE TEAM. R: A language and environment for statistical computing. 2013.
TEIXEIRA, F. J. C. Modelos de gerenciamento de recursos hídricos: análises e proposta de aperfeiçoamento do sistema do Ceará. Dissertação (Mestrado em Recursos Hídricos) — Universidade Federal do Ceará, Fortaleza, 2003.
TUCCI, C. E. M. Hidrologia: ciência e aplicação. Porto Alegre: Ed. UFRGS, 2001.
VERÍSSIMO, L. S. A importância das Águas subterrâneas para o Desenvolvimento socioeconômico do Eixo CRAJUBAR, Cariri ocidental - Estado do Ceará. 1999. Dissertação (Mestrado em Hidrogeologia) - Universidade Federal do Ceará, Fortaleza, 1999.
WANG, X.; SMITH, K.; HYNDMAN, R. Characteristic-based clustering for time series data. Data mining and knowledge Discovery, v. 13, n. 3, p. 335-364, 2006. DOI: https://doi.org/10.1007/s10618-005-0039-x.
WHEATER, H. S.; MATHIAS, S. A.; LI, X. Groundwater Modelling in Arid and Semi-Arid Areas. New York: Cambridge University Press, 2010. ISBN978-0-521-11129-4.
Arquivos adicionais
- Figura 1 – Mapa de localização do município de Milagres, Ceará, com destaque para a localização do poço Água Vermelha, 2021
- Figura 2 – Poço Água Vermelha no município de Milagres, Ceará, agosto de 2012
- Figura 3 – Comportamento do nível estático médio mensal no poço Água Vermelha vs. Precipitação na área de estudo, no período de agosto/2011 a novembro/2019
- Figura 4 – Gráfico de sazonalidade da série mensal do nível estático médio no poço Água Vermelha, no período de agosto/2011 a novembro/2019
- Figura 5 – Série mensal de nível estático médio no poço Água Vermelha (agosto/2011 a novembro/2019), e as 3 componentes aditivas obtidas por decomposição STL
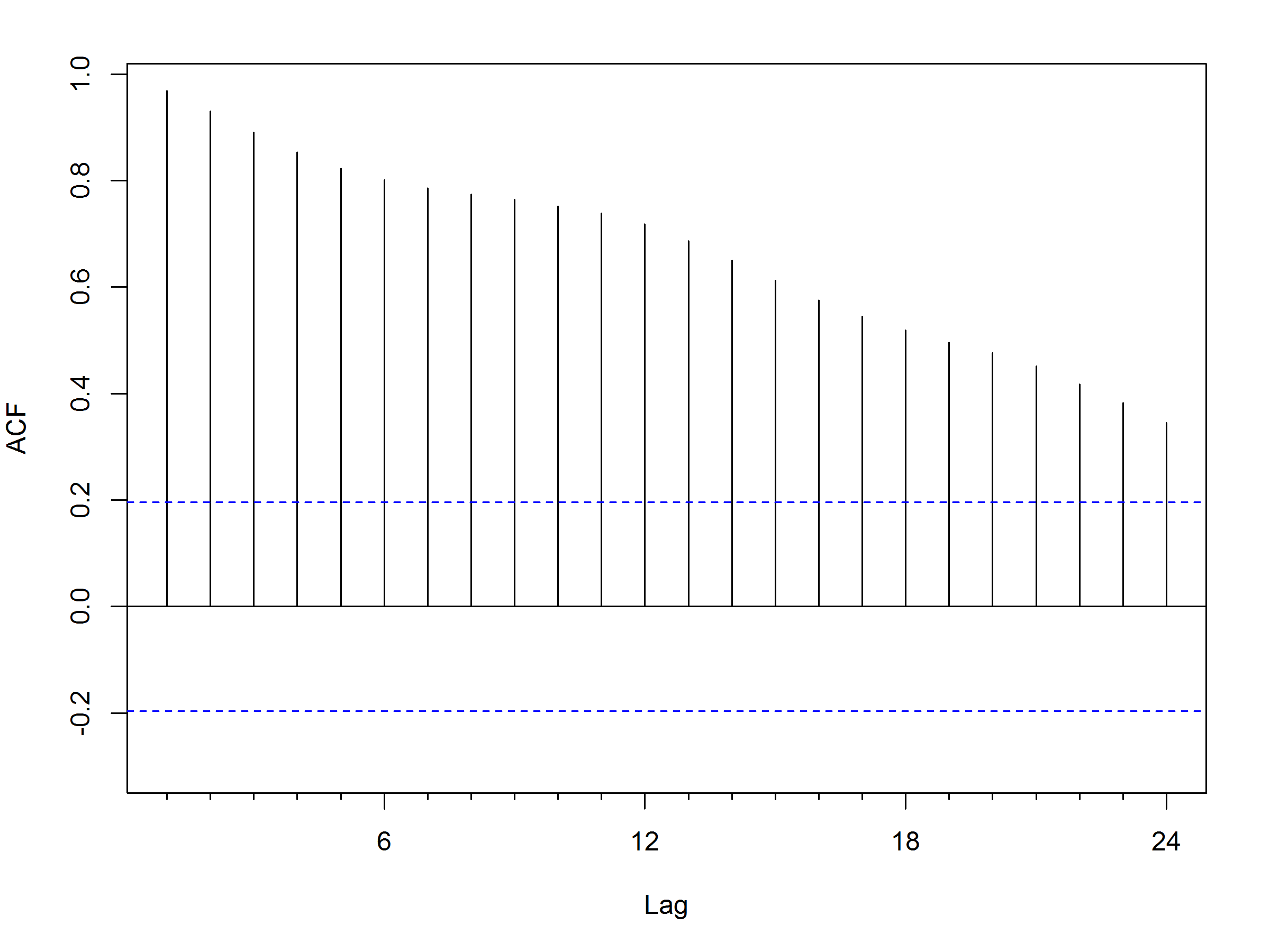
- Figura 6 – Gráfico da Função de Autocorrelação (ACF) da série mensal de nível estático médio no poço Água Vermelha, no período de agosto/2011 a novembro/2019
- Figura 7 – Mapa geológico do município de Milagres, Ceará, com destaque para a localização do poço Água Vermelha, 2020
- Figura 8 – Visualização do entorno do poço Água Vermelha a partir de imagem de satélite, agosto/2020
Publicado
Como Citar
Edição
Seção
Licença
A Revista Agrogeoambiental é um periódico científico de acesso aberto e gratuito.
A submissão de artigos e demais obras de comunicação científica para a Revista Agrogeoambiental implica plena aceitação pelo autor e pelos coautores da política de direitos autorais abaixo:
● Autor e coautores mantêm os direitos autorais e concedem à revista o direito de primeira publicação, com o trabalho simultaneamente licenciado sob a Licença Creative Commons Attribution, que permite o compartilhamento do trabalho com reconhecimento da autoria e publicação inicial nesta revista.
● Autor e coautores têm permissão e são estimulados a publicar e distribuir seu trabalho on-line (ex.: em repositórios institucionais ou na sua página pessoal) após seu aceite e publicação pela Revista Agrogeoambiental - mantendo o reconhecimento de autoria e publicação inicial nesta revista.
● Autor e coautores declaram que a obra é de autoria deles e responsabilizam-se por sua originalidade e pelas opiniões nela contidas.
● Após aceito e publicado o artigo, autor e coautores autorizam o editor a divulgar em mídias e modalidades de escolha do editor.
● O autor e os coautores resguardam os direitos autorais morais do obra publicada.