Predicting height growth in bean plants using non-linear and polynomial models
DOI:
https://doi.org/10.18406/2316-1817v13n320211625Palabras clave:
Growth curve. Logistics. Regression.Resumen
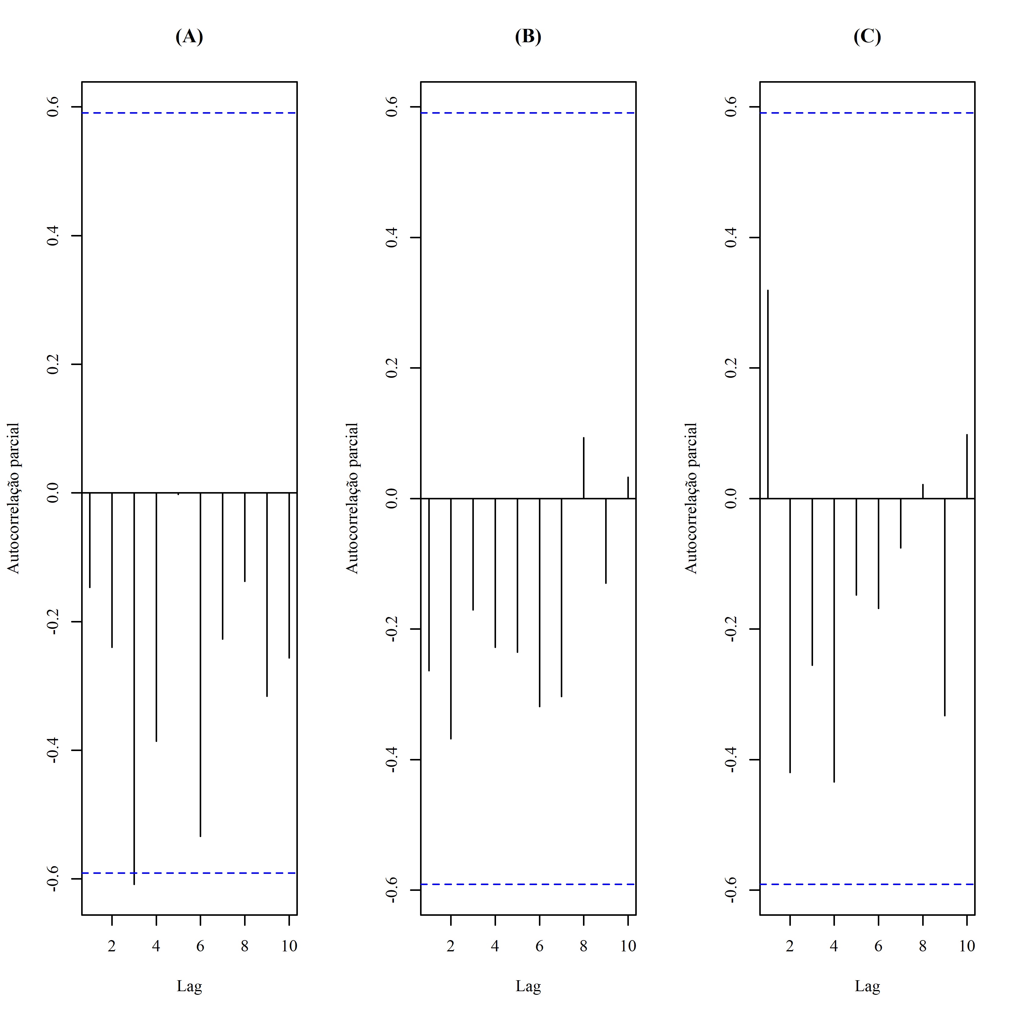
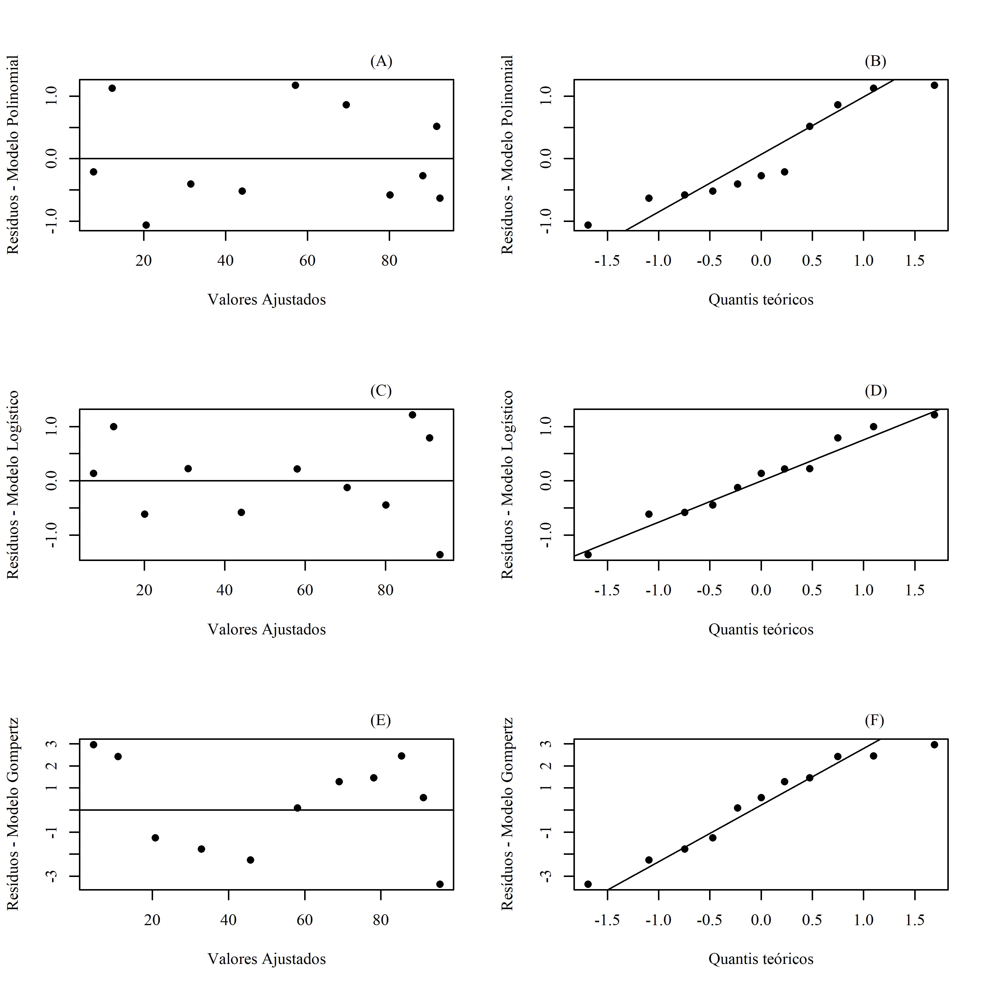
Brazil has stood out worldwide as one of the main producers and consumers of beans, which makes their cultivation important for the economic and social development of the country. As the bean plant has a short growth cycle, its modeling is essential for optimizing management plans for this crop. This modeling can be performed by linear and non-linear models, but the latter have stood out for providing more information to the researcher, mainly due to the practical interpretation of their parameters. In this sense, in the R statistical software, the third-degree linear polynomial model and the Logistic and Gompertz non-linear models were adjusted to height data, in centimeters, in relation to time, in days after emergence, totaling 11 observations. As criteria to assess the quality of the fit, the adjusted coefficient of determination, the corrected Akaike information criterion and the residual standard deviation were used. The logistic model best fitted the data.
Citas
ARCHONTOULIS, S. V.; MIGUEZ, F. E. Nonlinear Regression Models and Applications in Agricultural Research. Agronomy Journal, v. 107, n. 2, p.786-798, 2015.
BATISTA, G. S.; SILVA, J. L.; ROCHA, D. N. S.; SOUZA, A. R. E.; ARAUJO, J. F.; MESQUITA, A. C. Crescimento inicial do meloeiro em função da aplicação de biofertilizantes no cultivo orgânico. Revista Brasileira de Agropecuária Sustentável, v. 9, n. 2, p.24-32, 2019.
BRASIL. Ministério da Saúde. Secretaria de Atenção à Saúde. Departamento de Atenção Básica. Guia alimentar para a população brasileira. 2 ed. Brasília: Ministério da Saúde, 2014.
CONAB - Companhia Nacional de Abastecimento. Perspectivas para a agropecuária – Safra 2019/2020. v.7. Brasília, 2019. Disponível em: https://www.conab.gov.br/perspectivas-para-a-agropecuaria. Acesso em: 17 fev. 2021.
FAOSTAT. Crops. 2019. Disponível em: http://www.fao.org/faostat/en/#data/QC. Acesso em: 17 fev. 2021.
FERNANDES, T. J.; MUNIZ, J. A.; PEREIRA, A. A.; MUNIZ, F. R.; MUIANGA, C. A. Parameterization effects in nonlinear models to describe growth curves. Acta Scientiarum Technology, Maringá, v. 37, n. 4, p.397-402, 2015.
FERNANDES, T. J.; PEREIRA, A. A.; MUNIZ, J. A. Modelos duplo sigmoidais na descrição do crescimento de frutos do cafeeiro. Ciência Rural, Santa Maria, v. 47, n. 8, p.1-7, 2017.
FRÜHAUF, A. C.; PEREIRA, G. A.; BARBOSA, A. C. M. C.; FERNANDES, T. J.; MUNIZ, J. A. Nonlinear models in the study of the cedar diametric growth in a seasonally dry tropical forest. Revista Brasileira de Ciências Agrárias, v. 15, n. 4, p.1-8, 2020.
JANE, S. A.; FERNANDES, F. A.; SILVA, E. M.; MUNIZ, J. A.; FERNANDES, T. J. Comparison of polynomial and nonlinear models on description of pepper growth. Revista Brasileira de Ciências Agrárias, v. 14, n. 4, p.1-7, 2019.
JANE, S. A.; FERNANDES, F. A.; MUNIZ, J. A.; FERNANDES, T. J. Nonlinear models to describe height and diameter of sugarcane RB92579 variety. Revista Ciência Agronômica, Fortaleza, v. 51, n. 4, p.1-7, 2020.
LIMA, K. P.; DE MORAIS, A. R.; VIEIRA N. M. B.; VILLA F.; ANDRADE M. J.B. Uso de modelos não lineares na descrição do acúmulo de boro em diferentes partes do feijoeiro cultivar Jalo. Revista Brasileira de Biometria, v.35, n.4, p.834-861, 2017.
LIMA, K. P.; SILVA, L. M.; VIEIRA, N. M. B.; MORAIS, A. R.; ANDRADE, M. J. B. Modelagem não linear da biomassa seca do feijoeiro cv. Jalo. Sigmae, Alfenas, v. 8, n. 2, p.359-369, 2019.
MALTA, A. O. de; ATAIDE, E. B. de; OLIVEIRA, V. E. A. de; ALMEIDA, D. J. de; SANTOS, A. S. Crescimento de feijoeiro sob influência de carvão vegetal e esterco bovino. Revista Sítio Novo, Palmas, v. 1, p. 190-202, 2017.
MANGUEIRA, R. A. F.; SAVIAN, T. V.; MUNIZ, J. A.; SERMARINI, R. A.; NETTO, J. C. O modelo logístico considerando diferentes distribuições para os erros aplicado a dados de altura de milho. Revista Brasileira de Biometria, v.34, p.317-333, 2016.
MISCHAN, M. M.; PINHO, S. Z. Modelos não lineares [recurso eletrônico]: funções assintóticas de crescimento. São Paulo: Cultura Acadêmica, 2014.
MUIANGA, C. A.; MUNIZ, J. A.; NASCIMENTO, M. S.; FERNANDES, T. J.; SAVIAN, T. V. Descrição da curva de crescimento de frutos do cajueiro por modelos não lineares. Revista Brasileira de Fruticultura, Jaboticabal, v. 38, n. 1, p. 22-32, 2016.
PAULA, G. S.; SILVA, E. M.; FRÜHAUF, A. C.; SILVA, É. M. da; MUNIZ, J. A.; FERNANDES, T. J. Modeling the amount of mineralized carbon from swine manure and wheat straw. Revista Agrogeoambiental, v. 12, n. 3, 2020.
PAULA, G. S.; SILVA, E. M.; FURTADO, T. D. R.; FRUHAUF, A. C.; MUNIZ, J. A. Comparison of nonlinear models for the description of carbon mineralization in soils treated with pig slurry. Revista Agrogeoambiental, v. 11, n. 4, p. 82-95, 2019.
PINEDA-HERRERA, E.; CARREÓN-SANTOS, J.; VALDEZ-HERNÁNDEZ, J. I.; INTERIÁN-KU, V. M. Crecimiento em diâmetro de tres especies arbóreas en una selva secundaria de Quintana Roo, México. Madera y Bosques, v. 25, n. 1, p.1-12, 2019.
PRADO, T.K.L. do; MUNIZ, J.A.; SAVIAN, T.V.; SÁFADI, T. Ajuste do modelo logístico na descrição do crescimento de frutos de coqueiro anão por meio de algoritmos iterativos MCMC. Revista Brasileira de Biometria, v.31, p.216-232, 2013.
PRADO, T. K. L. do; SAVIAN, T. V.; FERNANDES, T. J.; MUNIZ, J. A. Study on the growth curve of the internal cavity of ‘Dwarf green’ coconut fruits. Revista Ciência Agronômica, Fortaleza, v. 51, n. 3, p.1-7, 2020.
R CORE TEAM. R: A language and environment for statistical computing. R Foundation for Statistical Computing, 2021.
RIBEIRO, T. D.; SAVIAN, T. V.; FERNANDES, T. J.; MUNIZ, J. A. The use of the nonlinear models in the growth of pears of ‘Shinseiki’ cultivar. Ciência Rural, Santa Maria, v.48, n.1, p.1-7, 2018.
SALDAÑA, T. M.; BEJARANO, C. A.; GUAQUETA, S. Efecto de la salinidad em el crescimiento de plantas de tomate tipo chonto. Revista Colombiana de Ciencias Hortícolas, v. 11, n. 2, p.329-342, 2017.
SILVA, E. M. da; TADEU, M. H.; SILVA, V. F. da; PIO, R.; FERNANDES, T. J.; MUNIZ, J. A. Description of blackberry fruit growth by nonlinear regression models. Revista Brasileira de Fruticultura, Jaboticabal, v. 42, n. 2, p.1-11, 2020a.
SILVA, E. M.; FURTADO, T. D. R.; FERNANDES, J. G. F.; MUNIZ, J. A. Description of the carbono mineralization of swine manure and oat straw in the soil through nonlinear models. Revista Agrogeoambiental, v. 11, n. 2, p. 71-86, 2019a.
SILVA, E. M.; SILVEIRA, S. C.; FURTADO, T. D. R.; MUNIZ, J. A. Fitting of decomposition of sewage sludge and oat straw by nonlinear models. Revista Agrogeoambiental, v. 11, n. 2, p. 18-28, 2019b.
SILVA, E. M.; FRÜHAUF, A. C.; JANE, S. A.; SILVA, É, M da; MUNIZ, J. A.; FERNANDES, T. J. Comparison of nonlinear models in the description of carbon mineralization in litter soil. Revista Agrogeoambiental, v. 12, n. 4, p. 58-69, 2020b.
SILVA, E. M.; FRÜHAUF, A. C.; SILVA, E. M.; MUNIZ, J. A.; FERNANDES, T. J.; SILVA, V. F. Evaluation of the critical points of the most adequate nonlinear model in adjusting growth data of ‘green dwarf’ coconut fruits. Revista Brasileira de Fruticultura, Jaboticabal, v. 43, n. 1, p.1-11, 2021.
SILVEIRA, S. C; MUNIZ, J. A.; SOUSA, F. A.; CAMPOS, A. T. Non-linear models adjusted to the accumulated production of biogas originating from swine deep bedding. Revista Agrogeoambiental, v. 10, n. 3, p. 91-103, 2018.
THOLON, P.; PAIVA, R. D. M.; MENDES, A. R. A.; BARROZO, D. Utilização de funções lineares e não lineares para ajuste do crescimento de bovinos Santa Gertrudis, criados a pasto. ARS VETERINARIA, Jaboticabal, v. 28, n. 4, p. 234-239, 2012.
VIEIRA, N.M.B; ANDRADE, M.J.B de; CARVALHO, J.G de; ALVES JUNIOR, J.; MORAIS, A.R. Altura de planta e acúmulo de matéria seca do feijoeiro cvs. BRS MG Talismã e Ouro Negro em plantio direto e convencional. Ciência e Agrotecnologia, Lavras, v.32, n.6, p.1687-1693, 2008.
Archivos adicionales
Publicado
Cómo citar
Número
Sección
Licencia
Derechos de autor 2022 Ariana Campos Frühauf, Edilson Marcelino Silva, Tales Jesus Fernandes, Joel Augusto Muniz

Esta obra está bajo una licencia internacional Creative Commons Atribución 4.0.
La Revista Agrogeoambiental es un periódico científico de acceso abierto y gratuito.
La sumisión de artículos y demás obras de comunicación científica para la Revista Agrogeoambiental implica plena aceptación por el autor y los coautores de la política de derechos de autor abajo:
● Autor y coautores mantienen los derechos de autor y conceden a la revista el derecho de primera publicación, con el trabajo simultáneamente licenciado bajo la Licença Creative Commons Attribution, que permite el compartir el trabajo con reconocimiento de la autoría y publicación inicial en esta revista.
● Autor y coautores tienen permitido y son estimulados a publicar y distribuir su trabajo en línea (por ejemplo, en repositorios institucionales o en su página personal) después de su aceptación y publicación por la Revista Agrogeoambiental - manteniendo el reconocimiento de autoría y publicación inicial en esta revista.
● Autor y coautores declaran que la obra es de autoría de ellos y se responsabilizan por su originalidad y por las opiniones contenidas en ella.
● Una vez aceptado y publicado el artículo, autor y co-autores autorizan a la editorial a publicar en los medios y métodos para la elección del editor.
● El autor y coautores consagran los derechos de autor moral de la obra publicada.