Uso potencial de sorgo sacarino para a produção de etanol no estado do Tocantins
DOI:
https://doi.org/10.18406/2316-1817v5n32013531Resumen
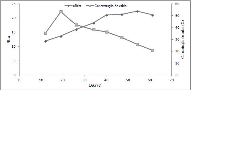
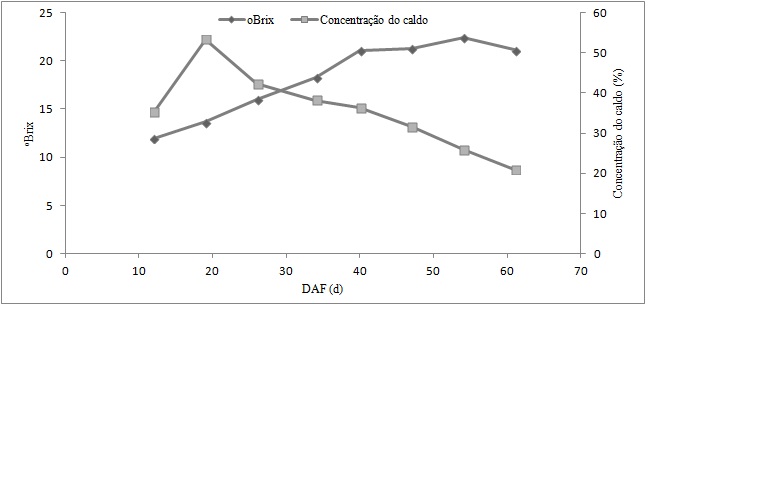
O sorgo (Sorghum bicolor (L.) Moench) é uma gramínea cultivada em várias regiões do mundo para a produção de grãos. Recentemente, a cultura vem sendo considerada como alternativa potencial para obtenção de bioenergia conduzida na entre safra da cana-de-açúcar por apresentar ciclo entre 100 a 130 dias e produção de matéria verde com alta concentração de açúcares. O objetivo deste trabalho foi avaliar o comportamento de 25 cultivares de sorgo sacarino na Região Central do Tocantins. O delineamento experimental foi conduzido em blocos casualisados em três repetições. Entre as características agronômicas avaliadas, as cultivares de maior potencial agronômico são: Altura CMSXS 644 3,51m; Florescimento BR 503 54 (DIF); Massa Verde CMSXS 630 77,14 t ha -1; Matéria Seca CMSXS 17,02 t ha -1; Concentração de Caldo e Rendimento de Caldo CMSXS 647 25,44% e 17.190 L há; ºBrix BRS 506 e CMSXS com 23,33%. O sorgo sacarino é uma planta de ciclo mais rápido que a cana-de-açúcar e apresenta-se como uma ótima alternativa para a produção de álcool combustível no Brasil.Descargas
Archivos adicionales
Publicado
Cómo citar
Número
Sección
Licencia
La Revista Agrogeoambiental es un periódico científico de acceso abierto y gratuito.
La sumisión de artículos y demás obras de comunicación científica para la Revista Agrogeoambiental implica plena aceptación por el autor y los coautores de la política de derechos de autor abajo:
● Autor y coautores mantienen los derechos de autor y conceden a la revista el derecho de primera publicación, con el trabajo simultáneamente licenciado bajo la Licença Creative Commons Attribution, que permite el compartir el trabajo con reconocimiento de la autoría y publicación inicial en esta revista.
● Autor y coautores tienen permitido y son estimulados a publicar y distribuir su trabajo en línea (por ejemplo, en repositorios institucionales o en su página personal) después de su aceptación y publicación por la Revista Agrogeoambiental - manteniendo el reconocimiento de autoría y publicación inicial en esta revista.
● Autor y coautores declaran que la obra es de autoría de ellos y se responsabilizan por su originalidad y por las opiniones contenidas en ella.
● Una vez aceptado y publicado el artículo, autor y co-autores autorizan a la editorial a publicar en los medios y métodos para la elección del editor.
● El autor y coautores consagran los derechos de autor moral de la obra publicada.