Influência da época seca na qualidade do aporte foliar em floresta semidecidual
DOI:
https://doi.org/10.18406/2316-1817v7n12015651Resumo
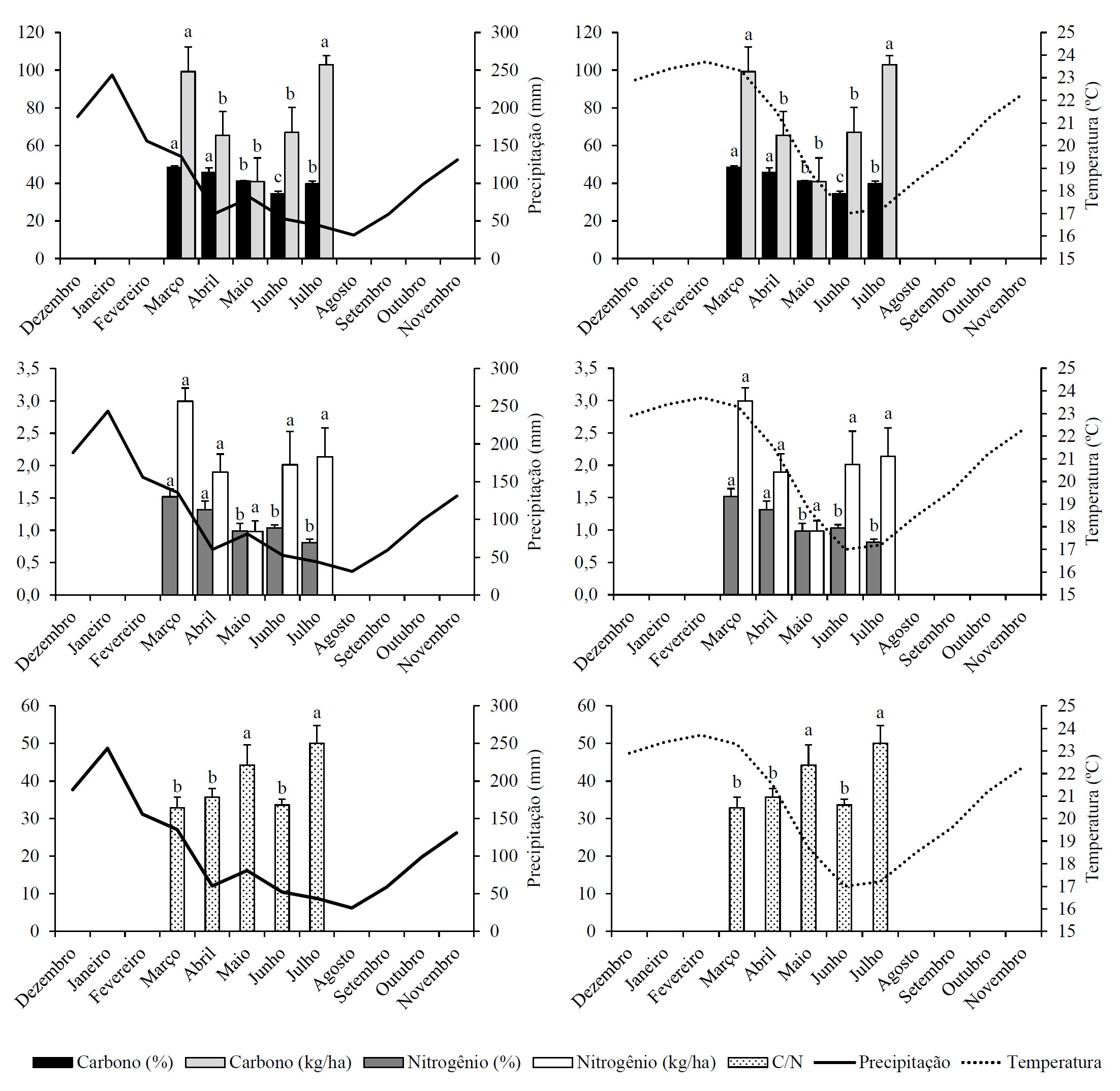
A serrapilheira apresenta uma importante função na ciclagem de nutrientes florestais, sendo as folhas as principais transportadoras desses nutrientes. Como a dinâmica da Floresta Estacional Semidecidual é fortemente demarcada pelos fatores climáticos, o objetivo deste trabalho é avaliar a influência temporal da temperatura e precipitação no aporte de carbono (C) e nitrogênio (N) foliares em fragmentos florestais. O estudo foi desenvolvido em cinco fragmentos florestais em Sorocaba, SP, onde foram demarcadas dez parcelas de 100m2, sendo instalados três coletores cônicos de 0,25m2 em cada. A coleta da serrapilheira foi feita de março a julho de 2008, onde o material foliar foi separado do restante da serrapilheira. Para a avaliação do teor de C e N foram sorteadas cinco amostras por mês, sendo estas moídas e analisadas. O teor e a quantidade de C e N apresentaram diferenças entre os meses. O carbono esteve diretamente relacionado com a quantidade de folhas aportadas enquanto que o nitrogênio esteve relacionado diretamente com a temperatura e a precipitação.
Downloads
Publicado
Como Citar
Edição
Seção
Licença
A Revista Agrogeoambiental é um periódico científico de acesso aberto e gratuito.
A submissão de artigos e demais obras de comunicação científica para a Revista Agrogeoambiental implica plena aceitação pelo autor e pelos coautores da política de direitos autorais abaixo:
● Autor e coautores mantêm os direitos autorais e concedem à revista o direito de primeira publicação, com o trabalho simultaneamente licenciado sob a Licença Creative Commons Attribution, que permite o compartilhamento do trabalho com reconhecimento da autoria e publicação inicial nesta revista.
● Autor e coautores têm permissão e são estimulados a publicar e distribuir seu trabalho on-line (ex.: em repositórios institucionais ou na sua página pessoal) após seu aceite e publicação pela Revista Agrogeoambiental - mantendo o reconhecimento de autoria e publicação inicial nesta revista.
● Autor e coautores declaram que a obra é de autoria deles e responsabilizam-se por sua originalidade e pelas opiniões nela contidas.
● Após aceito e publicado o artigo, autor e coautores autorizam o editor a divulgar em mídias e modalidades de escolha do editor.
● O autor e os coautores resguardam os direitos autorais morais do obra publicada.