Germinação de sementes de Monzê (Albizia polycephala (Benth.) Killip ex Record.)
DOI:
https://doi.org/10.18406/2316-1817v7n42015755Palavras-chave:
Monzê. Pré-germinação. Sementes florestaisResumo
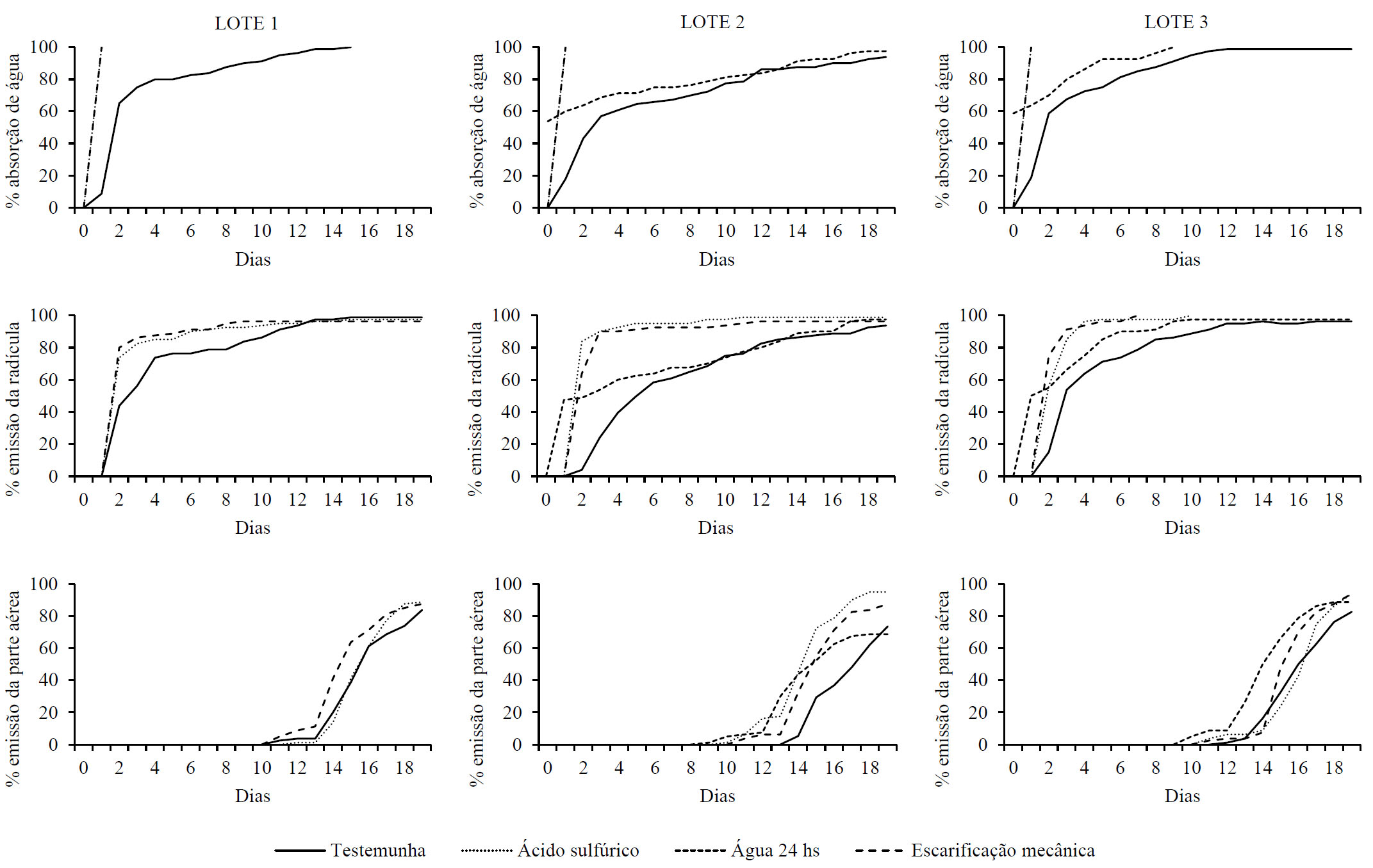
A Fabaceae Albizia polycephala é uma espécie clímax que ocorre naturalmente em florestas ombrófilas e estacionais, com enorme potencial para utilização na restauração de áreas degradadas. Porém há poucas informações na literatura quanto à dormência das sementes desta espécie. Com isso o objetivo deste trabalho é avaliar a germinação de sementes de Albizia polycephala, submetida a diferentes tratamentos pré-germinativos. As sementes foram coletadas em um fragmento de floresta estacional Em laboratório foram inicialmente separadas em três lotes, de acordo com seu formato, e armazenadas em geladeira. Para iniciar o experimento, as sementes foram desinfestadas e submetidas a quatro tratamentos: imersão em água, imersão em ácido sulfúrico, escarificação mecânica e testemunha. Dispostas em placas de petri com quatro repetições de cada tratamento, foram submetidos por 19 dias à temperatura de 30,0 ± 2,0 ºC com luz constante. Não observou-se diferenças entre os lotes e os tratamentos com escarificação mecânica e ácido sulfúrico potencializaram as fases iniciais da germinação das sementes.Downloads
Publicado
Como Citar
Edição
Seção
Licença
A Revista Agrogeoambiental é um periódico científico de acesso aberto e gratuito.
A submissão de artigos e demais obras de comunicação científica para a Revista Agrogeoambiental implica plena aceitação pelo autor e pelos coautores da política de direitos autorais abaixo:
● Autor e coautores mantêm os direitos autorais e concedem à revista o direito de primeira publicação, com o trabalho simultaneamente licenciado sob a Licença Creative Commons Attribution, que permite o compartilhamento do trabalho com reconhecimento da autoria e publicação inicial nesta revista.
● Autor e coautores têm permissão e são estimulados a publicar e distribuir seu trabalho on-line (ex.: em repositórios institucionais ou na sua página pessoal) após seu aceite e publicação pela Revista Agrogeoambiental - mantendo o reconhecimento de autoria e publicação inicial nesta revista.
● Autor e coautores declaram que a obra é de autoria deles e responsabilizam-se por sua originalidade e pelas opiniões nela contidas.
● Após aceito e publicado o artigo, autor e coautores autorizam o editor a divulgar em mídias e modalidades de escolha do editor.
● O autor e os coautores resguardam os direitos autorais morais do obra publicada.