Quality of white Gurgutuba creole beans stored in silo bags and PET bottles
DOI:
https://doi.org/10.18406/2316-1817v12n320201465Palavras-chave:
Phaseolus vulgaris L. Modified atmosphere. Hermetic. Infestation.Resumo
Hermetic storage in silo bag has provided a viable alternative for farms. This study evaluates the use ofsilo bags as an alternative for storing creole beans. The experiment was conducted in the UFAC seed
laboratory. The beans were stored in silo bags for 30, 60, 90 and 120 days or in PET bottles, which
is the common practice. In the control treatment, PET bottles sealed with organza fabric were used.
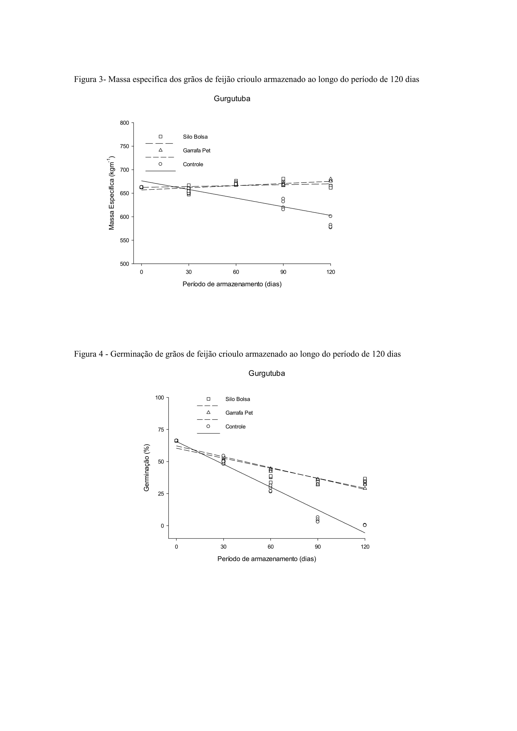
The experimental model was factorial CRD with subdivided plots and four replications, with the plots being storage conditions; and sub-plots, storage periods. The degree of infestation, moisture content, apparent specific mass, germination percentage and electrical conductivity were evaluated at 30 - day intervals. There was significant variation (p < 0.05) between storage types Zabrotes subfasciatus (Boheman) and Acanthoscelides obtectus (Say) (Coleoptera: Chrysomelidae, Bruchinae), then infestations occurred. Infestation using these bruchids was < 7% in the beans stored in the silo bag and PET bottle. For the control treatment, the degree of infestation was slightly higher (p < 0.05)
with rates of > 90% after 120 days. The moisture content, specific mass, germination, and electrical conductivity of the beans stored in the silo bag and PET bottle preserved the characteristics analyzed over the 120-day period with the exception of control treatment. Storage in silo bags is an effective alternative for controlling infestation and maintaining quality, in terms of moisture content, specific mass, germination, and electrical conductivity, for up to 120 days.
Referências
BARONI, G. D.; BENEDETI, P. H.; SEIDEL, D. J. Cenários prospectivos da produção e armazenagem de grãos no Brasil. Revista Thema, Passo Fundo-RS, v. 14, n. 4, p. 55-64, 2017. Disponível em: < DOI: http://dx.doi.org/10.15536/thema.14.2017.55-64.452>
BOHNER, T. O. L.; ARAÚJO, L. E. B.; NISHIJIMA, T. O. Impacto ambiental do uso de agrotóxicos no meio ambiente e na saúde dos trabalhadores rurais. Revista Eletrônica do Curso de Direito, v. 8, edição especial, p. 329-341, 2013. Disponível em: http://dx.doi.org/10.5902/198136948280>
BRAGANTINI, C. Alguns aspectos do armazenamento de sementes e grãos de Feijão. Santo Antônio de Goiás. Embrapa Arroz e Feijão. 2005. 28 p.
BRASIL. Ministério da Agricultura e Reforma Agrária. Regras para análise de sementes. Brasília: SNDA/DNDV/CLAV, 1992. 365 p.
BRASIL. Ministério da Agricultura, Pecuária e Abastecimento (MAPA). Secretaria de Defesa Agropecuária (ACS). Regras para análise de sementes (RAS). Brasília: MAPA, 2009.399 p.
CASSOL, F. D. R. Características agronômicas, nutricionais e tecnológicas de grãos de feijão carioca armazenados, cultivados em sistemas orgânico e convencional. 2017. 112 f. Tese (Doutorado) Programa de Pós-Graduação em Engenharia Agrícola – Universidade Estadual do Oeste do Paraná, Campus de Cascavel, Cascavel, 2017.
CASTRO, E. de C.; WANDER, A. E. Cadeia de produção de sementes de feijão no brasil analisada sob a ótica da nova economia institucional. Cadernos de Ciência & Tecnologia, Brasília, v. 31, n. 3, p. 475-492, set./dez. 2014.
COCHRAN, W. G. e COX, G. M. (1968). Experimental Designs. 2 ed. New York: Wiley, 1957. 611 p.
COELHO, C. M. M.; MOTA, M. R.; SOUZA, C. A.; MIQUELLUTI, D.J. Potencial fisiológico em sementes de cultivares de feijão crioulo (Phaseolus vulgaris L.). Revista Brasileira de Sementes, Londrina, v. 32, n. 3, p. 097-105, set. 2010.
COSTA, A. R. da.; FARONI L. R. D’ANTONINO.; ALENCAR E. R. de.; CARVALHO, M. C. S.; FERREIRA, L. G. Qualidade de grãos de milho armazenados em silos bolsa. Revista Ciência Agronômica, Fortaleza, v. 41, n. 2, p. 200-207, abr-jun, 2010.
DE JESUS, F. F.; DE SOUZA, R. T.; DA SILVA, T.G. C.; TEIXIERA, I. R.; DEVILLA, I A. Propriedade físicas de sementes de feijão em função dos teores de água. Revista Engenharia na Agricultura. Viçosa, MG, v. 21, n. 1, p. 09-18, jan./fev. 2013.
DE LIMA JÚNIOR, A. F.; DE OLIVEIRA, I. P.; DA ROSA, S. R. A.; DA SILVA, A. J.; & DE MORAIS, M. M. Controle de pragas de grãos armazenados: uso e aplicação de fosfetos. Revista Eletrônica Faculdade Montes Belos, v. 5, n. 4, 2012.
DI LANARO, N.; BAJAY, L. G.; QUEIROZ, V. M. P.; PINTO, R. C. S.; DE ALBUQUERQUE, L. I. G.; LESSIO, B. C.; AUGUSTO, P. E. D. Determinação de propriedades físicas do feijão fradinho. Revista Brasileira de produtos Agroindustriais. Campina Grande, V. 13, n. 1, p. 27-35, abr. 2011
FARONI, L. R. A.; SOUSA, A. H. Aspectos biológicos e taxonômicos dos principais insetos-praga de produtos armazenados. In: ALMEIDA, F. A. C.; DUARTE, M. E. M.; MATA, M. E. R. M. C. Tecnologia de Armazenagem em sementes, Campina Grande, 2006. p. 371-402.
FERREIRA, D. F. Sisvar: a Guide for its Bootstrap procedures in multiple comparisons. Ciência agrotecnologia. Lavras, v.38, n.2, p. 109-112, mar./abr. 2014.
FREITAS, R. da S. Qualidade de grãos de feijão armazenados sob atmosfera modificada. 2009. 58 f. Dissertação (Mestre em Agronomia: Fitotecnia) Universidade Federal Rural do Semi-Árido, Mossoró-RN.
MAPA - Ministério da Agricultura, Pecuária e Abastecimento. Instrução Normativa Nº 45, de 21 de setembro de 2013. Anexo XI - Padrões para produção e comercialização de sementes de feijão. (Phaseolus vulgaris L.). http://www.lex.com. br/legis_24861657_InstruçãoNormativa_N_45_DE_17_de setembro_de_2013.aspx. Acesso em: 15 março de 2019.
MARCOS FILHO, J. Fisiologia de sementes de plantas cultivadas. Piracicaba: Fealq, 2005. 495 p.
MICHELS, A. F.; SOUZA, C.A.; COELHO, C. M. M.; ZILIO, M. Qualidade fisiológica de sementes de feijão crioulo produzidas no oeste e planalto catarinense. Revista Ciência Agronômica, Fortaleza, v. 45, n. 3, p. 620-632, jul.-set, 2014.
MUTUNGI, C.; AFFOGNON, H.D.; NJOROGE, A.W.; MANONO, J.; BARIBUTSA, D.; MURDOCK, L.L. Triple-layer plastic bags protect dry common beans (Phaseolus vulgaris) against damage by Acanthoscelides obtectus (Coleoptera: Chrysomelidae) during storage. Journal of Economic Entomology, Oxford, v.108, n. 5, p. 2479–2488, Oct. 2015.
NAVARRO, S. Advanced grain storage methods for quality preservation and insect control based on aerated or hermetic storage and IPM. Jornal Agricultural Enginnering. Pavia, Italy, v. 49, n. 1, p. 13-20, Jan. 2012a.
NAVARRO, S., The use of modified and controlled atmospheres for the disinfestation of stored products. Jornal of Pest Science. Switzerland, v. 85, n. 3, p. 301-322, Dec. 2012b.
NJOROGE, A.W., AFFOGNON, H.D., MUTUNGI, C.M., MANONO, J., LAMUKA, P.O., MURDOCK, L.L. Triple bag hermetic storage delivers a lethal punch to Prostephanus truncatus (Horn) (Coleoptera: Bostrichidae) in stored maize. Jornal Stored Products Research. v. 58, n. 3, p. 12-19. July 2014.
NOGUEIRA, R. M.; HERRERA, B. B.; RUFFATO, S.; PIRES, E. M. Simulação e validação de um modelo matemático para o perfil de temperatura do milho armazenado em silo-bolsa. Cientifica, Jaboticabal, v. 42, n. 4, p. 330-337, jun. 2014.
PEREIRA, A.M.; FARONI, L.R.D.A.; SOUSA, A.H.; URRUCHI, W.I.; ROMA, R.C.C. Efeito imediato e latente da fumigação com ozônio na qualidade dos grãos de milho. Revista Brasileira de Armazenamento, Viçosa, MG, v. 32, n. 2, p. 100-110, dez. 2007.
RODRÍGUEZ, J.C.; BARTOSIK, R.E.; MALINARICH H.D.; EXILART, J.P.; NOLASCO, M.E. Almacenaje de granos en bolsas plásticas: sistema silobag. Disponível em: < https://www.engormix.com/agricultura/articulos/almacenaje-de-granos-en-bolsas-plasticas-t26448.htm>. Acesso em: 12 de mar. 2019.
SANTOS, W. D. dos.; CHAVAGLIA, R. F. A importância do controle de armazenagem para conservação e comercialização de grãos. Revista Científica do Centro de Ensino Superior Almeida Rodrigues. Rio Verde, FAR/ISEAR, Ano 5, nº 5, jan. 2017.ISSN: 2317-7284
SCHNEIDER, C. F.; MALAVASI, M. de M.; TOLEDO, M. V.; STANGARLIN, J. R.; MALAVASI, U. C. Armazenamento de sementes de feijão submetidas a tratamentos sanitários alternativos. Revista Verde, Pombal, v. 9, n. 4, p. 278 - 283, out-dez, 2014.
SHAPIRO, S. S.; WILK, M. B. An analysis of variance test for normality (complete samples). Biometrika, Oxford, v. 52, n. 3-4, p. 591-611, 1965.
SILVA, J. F.; MELO, B. A. DE; LEITE, D. T.; ALMEIDA, F. DE A. C.; PESSOA, E. B. Dados biológicos de Zabrotes subfasciatus (Bohemann, 1833)(Coleoptera: Bruchidae) em dois genótipos de Phaseolus vulgaris L. Revista Verde, Mossoró, v. 8, n. 3, p. 06-09, jul-set, 2013.
SILVA, M. G.; SILVA, G. N.; SOUSA, A. H.; FREITAS, R. S.; SILVA, M. S.; ABREU, A. O. Hermetic storage as an alternative for controlling Callosobruchus maculatus (Coleoptera: Chrysomelidae) and preserving the quality of cowpeas. Journal of stored products research, v. 78, p. 27-31, set, 2018.
SOARES JÚNIOR, M. S.; CALIARI M.; BECKER F. S.; SOUZA, E. R. B.; VERA, R. Propriedades físicas e químicas de grãos de feijões crioulos vermelhos. Revista Caatinga, Mossoró, v. 28, n. 1, p. 263 – 269, jan. – mar., 2015.
SPSS. Sigma Plot user’s guide, Version 10.0. Chicago: SPSS, 2006.
TUKEY, J. W. Comparing individual means in the analysis of variance. International Biometric Society, Washington, v. 5, n. 2, p. 99-114, 1949.
VIEIRA, R. D.; CARVALHO, N. M. Testes de vigor em sementes. Jaboticabal: FUNEP, 1994. 164 p.
WACHTER, S. A.; PEREIRA, F. de A. R. Custo de armazenagem de grãos no sistema Silos bolsa. Comunicação & Mercado/Unigran, Dourados - MS, v.04, n.09, p.245-253, jan-jun 2015.
ZAMBIASI, C. A. Qualidade de grãos de feijão armazenados em diferentes condições de temperatura. 2015. 77 f. Tese (Doutorado Engenharia Agrícola) - Universidade Federal de Viçosa, Viçosa, MG, 2015.
Arquivos adicionais
Publicado
Como Citar
Edição
Seção
Licença
A Revista Agrogeoambiental é um periódico científico de acesso aberto e gratuito.
A submissão de artigos e demais obras de comunicação científica para a Revista Agrogeoambiental implica plena aceitação pelo autor e pelos coautores da política de direitos autorais abaixo:
● Autor e coautores mantêm os direitos autorais e concedem à revista o direito de primeira publicação, com o trabalho simultaneamente licenciado sob a Licença Creative Commons Attribution, que permite o compartilhamento do trabalho com reconhecimento da autoria e publicação inicial nesta revista.
● Autor e coautores têm permissão e são estimulados a publicar e distribuir seu trabalho on-line (ex.: em repositórios institucionais ou na sua página pessoal) após seu aceite e publicação pela Revista Agrogeoambiental - mantendo o reconhecimento de autoria e publicação inicial nesta revista.
● Autor e coautores declaram que a obra é de autoria deles e responsabilizam-se por sua originalidade e pelas opiniões nela contidas.
● Após aceito e publicado o artigo, autor e coautores autorizam o editor a divulgar em mídias e modalidades de escolha do editor.
● O autor e os coautores resguardam os direitos autorais morais do obra publicada.